Bosanski
Deutsch
Eesti
English
Español
Français
Italiano
Lietuvių
Magyar
Nederlands
Polski
Português
Pусский
Român
Rätoromanisch
Türkçe
Čeština
Ελληνικά
Беларусь
България
Українська
ქართული
Apps durchstöbern
App erstellen
Kollektion erstellen
Anmelden
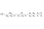
10 клас Еластичність попиту
ähnliche App erstellen
Kopie dieser App erstellen
neue leere App mit dieser Vorlage erstellen
weitere Apps mit dieser Vorlage anzeigen
merken in "Meine Sachen"
In Ordner speichern
QR-Code
Über diese App
Bewerten Sie diese App:
(0)
Eingestellt von:
Злата Анацька
Kategorie:
Wirtschaft
App verwenden
Problem melden
Link:
Einbetten:
SCORM
Teilen:
Image Licence Information